Ученые представили математическую «формулу счастья». Она учитывает как личные достижения человека, так и влияние успехов и неудач других на собственное мироощущение. Результаты исследования представлены в журнале Nature Communications.
Математики и психологи из лондонского Университетского колледжа пригласили 37 незнакомых друг с другом добровольцев. Им было предложено выполнить серию заданий для оценки уровня счастья и влияющих на него факторов. Итоговые связи и закономерности были представлены в виде сложной формулы.
Сначала добровольцев спросили, как бы они разделили сумму наличности с незнакомым им человеком. Потом они разыграли эту сумму в азартной игре, имея возможность узнать, выиграл или проиграл их новый партнер в той же игре. В целом, неравный результат снижал уровень счастья: людям не нравилось, если они выигрывали больше (чувство вины) или меньше (зависть) денег, чем только что повстречавшиеся им незнакомцы.
Кроме того, выяснилось, что динамику счастья респондентов определяют не случайные факторы, как симпатия или антипатия к незнакомцу, исход игры, а стабильные психологические черты личности — склонность к зависти и чувству вины. Обследованные индивиды четко распались на группу «щедрых» (кто больше огорчался своему выигрышу и давал незнакомцу 30 процентов денег в первом задании) и «скупцов» (их больше удручал проигрыш, и они выделяли другим лишь 10 процентов от суммы).
По мнению ученых, щедрость к незнакомцам непосредственно связана с тем, как на счастье человека влияют ситуации неравенства, с которыми он сталкивается в жизни. Кроме того, «формула счастья» также может применяться для точного измерения эмпатии (важный показатель для диагностики и лечения психопатий).
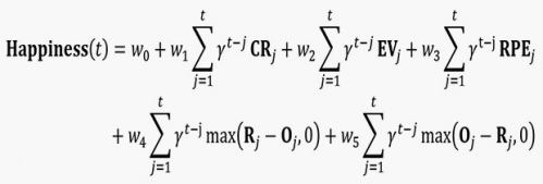
Формула счастья. t — номер игры, w0 — константа, остальные w описывают влияние различных событий. 0 < γ < 1 — это фактор забвения, из-за которого недавние игры больше влияют на самочувствие человека, чем более удаленные по времени. CRj — это небольшое вознаграждение, который добровольцы получают, если отказываются от игры. EVj — средний размер выигрыша в игре, RPE — награда минус ожидания от игры. W4 связан с чувством вины (когда выигрыш респондента Rj превышает выигрыш незнакомого ему второго участника — Oj), w5 — c завистью (когда, напротив, Oj превышает Rj).



